Керування частотною характеристикою гучномовця за допомогою зміни його зовнішнього оформлення

Вантажиться...
Ескіз

Дата

2021

Науковий керівник

Назва журналу

Номер ISSN

Назва тому

Видавець

КПІ ім. Ігоря Сікорського

Анотація

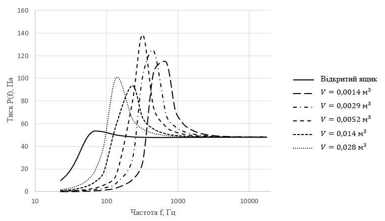
У даній статті аналізується спосіб керування частотною характеристикою низькочастотного гучномовця шляхом зміни об’єму його акустичного оформлення – закритого ящика. Розрахунок виконується методом Тіля-Смола. Одержані результати порівнюються з відповідними характеристиками для відкритого зовнішнього оформлення.

Опис

Ключові слова

гучномовець, зовнішнє оформлення, закритий ящик, добротність гучномовця, добротність системи, об’єм зовнішнього оформлення, loudspeaker, enclosure, closed box, quality factor of the loudspeaker, quality factor of the acoustic system, volume of the enclosure

Бібліографічний опис

Рябоконь, П. О. Керування частотною характеристикою гучномовця за допомогою зміни його зовнішнього оформлення / Рябоконь П. О. // Електронна та Акустична Інженерія : науково-технічний журнал. – 2021. – Т. 4, № 2. – С. 227730-1 - 227730-5. – Бібліогр.: 10 назв.

ORCID